English
全部
搜索
图片
视频
短视频
地图
资讯
更多
购物
航班
旅游
笔记本
报告不当内容
请选择下列任一选项。
无关
低俗内容
成人
儿童性侵犯
时长
全部
短(小于 5 分钟)
中(5-20 分钟)
长(大于 20 分钟)
日期
全部
过去 24 小时
过去一周
过去一个月
去年
清晰度
全部
低于 360p
360p 或更高
480p 或更高
720p 或更高
1080p 或更高
源
全部
Dailymotion
Vimeo
Metacafe
Hulu
VEVO
Myspace
MTV
CBS
Fox
CNN
MSN
价格
全部
免费
付费
清除筛选条件
安全搜索:
中等
严格
中等(默认)
关闭
筛选器
3:16
Facebook
Christopher Okon
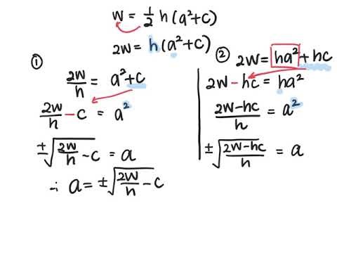
Example 8 on subject of the formulae. follow me for more videos every day. #mathematics #maths #solutions #reelschallenge #students #teacher #team #education
Christopher Okon. . Example 8 on subject of the formulae. follow me for more videos every day. #mathematics #maths #solutions #reelschallenge #students #teacher #team #education #followersreelsfypシ゚viralシfypシ゚viralシalシ
已浏览 86 次
4 个月之前
Math Formulas
7:08
Common Math Formulas | Overview, Uses & Importance
Study.com
已浏览 1.7万 次
2014年3月26日
21:52
Trigonometry For Beginners!
YouTube
The Organic Chemistry Tutor
已浏览 838.8万 次
2017年7月25日
4:59
Sin Cos Tan
YouTube
Math Meeting
已浏览 127.8万 次
2012年7月2日
热门视频
2:39
Check out a step by step explanation to example 3 on the topic: Subject of the Formulae. Follow me for more videos everyday | Christopher Okon
Facebook
Christopher Okon
已浏览 34 次
4 个月之前
1:28
7.6K views · 165 reactions | Finding the subject of formula #formula #subjectofformula #gpadlearnmaths #stem | Gpad Learn Maths | Facebook
Facebook
Gpad Learn Maths
已浏览 2788 次
2 周前
1:50
subject of Formula #basicproblems #mathematics
YouTube
Physics & Mathematics lovers
已浏览 12 次
1 个月前
Physics Formulas
0:26
“50 Physics Formulas Explained Simply”
YouTube
INCREASING KNOWLEDGE
已浏览 1170 次
1 个月前
0:15
62K views · 450 reactions | Basic physics formulas describe...
Facebook
Chemistry Help
已浏览 1.5万 次
1 个月前
0:59
Understanding Main Physics Concepts and Formulas
TikTok
realarvinash
已浏览 2.5万 次
2021年3月15日
2:39
Check out a step by step explanation to example 3 on the to
…
已浏览 34 次
4 个月之前
Facebook
Christopher Okon
1:28
7.6K views · 165 reactions | Finding the subject of formula #formula #s
…
已浏览 2788 次
2 周前
Facebook
Gpad Learn Maths
1:50
subject of Formula #basicproblems #mathematics
已浏览 12 次
1 个月前
YouTube
Physics & Mathematics lovers
2:24
subject of the formula
已浏览 6 次
3 个月之前
YouTube
Maths with Maureen
4:16
DC Circuit Theory Explained in Hindi | Basic Electrical Engineering for
…
4 个月之前
YouTube
Electric and Electronic West Bengal India
7:34:23
Valuation – Part 2 | CS Professional Revision | By CS Biplab Mondal
已浏览 1 次
3 个月之前
YouTube
officialjksc CS
13:57
Changing Subject Formulae Revision
1 个月前
YouTube
NKT
1:25
👉 Algebra Trick: Make x the Subject FAST
已浏览 24 次
1 个月前
YouTube
Hub Beyond Numbers
1:44
Simple Hacks To Subject Of Formular
已浏览 329 次
2 个月之前
YouTube
Philemathics
1:31
Many still struggle with Subject of formula. #subjectformula #formul
…
已浏览 77 次
1 个月前
YouTube
Gpad Learn Maths
1:37
SUBJECT OF FORMULA
已浏览 31 次
1 个月前
YouTube
MOSES MATHEMATICS
2:21
Welcome to Hearts That Teach ❤️📘 In this lesson, we explain Change
…
已浏览 268 次
5 个月之前
TikTok
feranmiaji3
0:32
#mathstuition #subjectoftheformula #GCSEmaths #mathsrevision #fre
…
已浏览 586 次
1 个月前
TikTok
themathszone
How to Solve for the Subject of a Formula in Mathematics
已浏览 3.7万 次
2023年9月3日
TikTok
maths_with_esomnofu
8:23
Silly Symphonies - The Practical Pig
已浏览 249.8万 次
2009年3月21日
YouTube
hard.fael
4:36
Practical Philosophy - Studio C
已浏览 723.1万 次
2013年10月15日
YouTube
Studio C
9:58
Gravity Visualized
已浏览 1.4亿 次
2012年3月10日
YouTube
apbiolghs
2:04
Fiberoptic Endoscopy (HD)
已浏览 32.4万 次
2010年10月16日
YouTube
Fauquier ENT
14:51
Rearranging Harder Formulae
已浏览 15.8万 次
2020年6月2日
YouTube
Maths Genie
2:30
Rearranging Equations - GCSE Physics
已浏览 4.7万 次
2019年2月13日
YouTube
Physics Online
0:14
Toggle clamp 2b
已浏览 496.6万 次
2013年11月24日
YouTube
thang010146
6:57
Quadratic Sequences The Basics
已浏览 22.1万 次
2013年9月11日
YouTube
Patty Hill
1:25
Calculate IRR using Excel
已浏览 76.4万 次
2011年2月26日
YouTube
From Thought to Thriving
2:58
How to use the VLOOKUP function in Excel
已浏览 498.6万 次
2018年9月28日
YouTube
TechOnTheNet
41:36
Basic Computing Skills - Orientation
已浏览 692.1万 次
2013年2月19日
YouTube
Edith Cowan University
10:07
Power Reducing Formulas - Trigonometric Identities
已浏览 18.2万 次
2016年11月8日
YouTube
The Organic Chemistry Tutor
5:10
Trigonometry | The t-formulae explained
已浏览 2.5万 次
2019年1月21日
YouTube
ExamSolutions
11:43
Changing Subject Of Formulae
已浏览 5.1万 次
2021年6月16日
YouTube
24 minute lessons
5:59
How To Change The Subject Of A Formula
已浏览 61.3万 次
2013年2月10日
YouTube
Sarah Chamings
观看更多视频
更多类似内容
反馈