English
全部
搜索
图片
视频
短视频
地图
资讯
更多
购物
航班
旅游
笔记本
报告不当内容
请选择下列任一选项。
无关
低俗内容
成人
儿童性侵犯
时长
全部
短(小于 5 分钟)
中(5-20 分钟)
长(大于 20 分钟)
日期
全部
过去 24 小时
过去一周
过去一个月
去年
清晰度
全部
低于 360p
360p 或更高
480p 或更高
720p 或更高
1080p 或更高
源
全部
Dailymotion
Vimeo
Metacafe
Hulu
VEVO
Myspace
MTV
CBS
Fox
CNN
MSN
价格
全部
免费
付费
清除筛选条件
安全搜索:
中等
严格
中等(默认)
关闭
筛选器
9:33
Khan Academy
Grant Sanderson
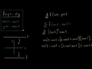
Multivariable chain rule
This is the simplest case of taking the derivative of a composition involving multivariable functions.
2016年5月21日
Chain Rule Examples
The Chain Rule in Calculus: A Step-by-Step Guide | SchoolTube
schooltube.com
已浏览 6 次
2024年6月16日
The Chain Rule with Trigonometric Functions
mathsathome.com
2023年1月17日
3:09
Chain Rule Examples - Statistics How To
statisticshowto.com
2024年5月12日
热门视频
9:33
Khan Academy
Khan Academy
Grant Sanderson
2016年5月21日
6:41
Khan Academy
Khan Academy
Grant Sanderson
2016年5月21日
8:20
Un tratamiento más formal de la regla de la cadena multivariable
Khan Academy
Grant Sanderson
2016年5月21日
Chain Rule Applications
What is the Chain Rule and how to use it?... | Filo
askfilo.com
8 个月之前
3:18
The Easiest Chain Rule Tutorial You’ll Ever Watch
YouTube
Antonio Lyons
已浏览 17 次
3 个月之前
2:54
Intuition behind THE CHAIN RULE 🧐 Watch the full video... #calculus #differentiation #chainrule
YouTube
A-Level Mathematics
已浏览 1491 次
1 个月前
9:33
Khan Academy
2016年5月21日
Khan Academy
Grant Sanderson
6:41
Khan Academy
2016年5月21日
Khan Academy
Grant Sanderson
8:20
Un tratamiento más formal de la regla de la cadena multivariable
2016年5月21日
Khan Academy
Grant Sanderson
Chain Rule in Multivariable CalculusExplain the working rule .
…
5 个月之前
askfilo.com
0:44
179 - Multivariable Chain Rule Tutorial
已浏览 2783 次
2025年1月12日
YouTube
Matt Heywood
10:43
Multivariable Chain Rule | Multivariable Calculus | Khan Aca
…
已浏览 1870 次
2016年7月10日
YouTube
KhanAcademyEspañol
2:11:52
Calculus 3 Lecture 13.5: The Chain Rule for Multivariable Functions
已浏览 35.7万 次
2016年3月17日
YouTube
Professor Leonard
45:04
Multivariable calculus, class #9: Chain Rule
已浏览 4879 次
2018年2月11日
YouTube
Diana Davis
10:47
The Multi-Variable Chain Rule: Derivatives of Compositions
已浏览 14.4万 次
2019年11月13日
YouTube
Dr. Trefor Bazett
13:30
Multivariable Chain Rule Practice Problems
已浏览 7726 次
2017年10月2日
YouTube
James Hamblin
Lecture 09: Chain rule-I
已浏览 10.2万 次
2018年2月10日
YouTube
Multivariable calculus - IITR
5:25
Vector form of the multivariable chain rule
已浏览 8.9万 次
2016年5月20日
YouTube
Khan Academy
6:41
Multivariable chain rule and directional derivatives
已浏览 6.8万 次
2016年5月20日
YouTube
Khan Academy
11:29
Chain Rule for Multivariable Calculus | z = f(x, y), x = g(t), y = h(
…
已浏览 94 次
10 个月之前
YouTube
MathSci Consult
4:29
Partial Derivative | Multivariable Chain Rule
已浏览 2.5万 次
2020年6月3日
YouTube
Tambuwal Maths Class
8:44
Chain rule and tree diagrams of multivariable functions (KristaKin
…
已浏览 5万 次
2013年9月26日
YouTube
Krista King
21:10
CHAIN RULE IN PARTIAL DIFFERENTIATION AND MUILTIVA
…
已浏览 1.4万 次
11 个月之前
YouTube
TIKLE'S ACADEMY OF MATHS
9:19
Multivariable chain rule | Lecture 14 | Vector Calculus for Engineers
已浏览 1.3万 次
2019年10月23日
YouTube
Jeffrey Chasnov
10:57
Multivariable Chain Rule and Polar Coordinates
已浏览 38 次
9 个月之前
YouTube
Andrew
22:23
CHAIN RULE IN PARTIAL DIFFERENTIATION AND MUILTIVA
…
已浏览 6088 次
10 个月之前
YouTube
TIKLE'S ACADEMY OF MATHS
36:20
Gradient Vectors, Directional Derivatives, & Chain Rule in Multiv
…
已浏览 321 次
2024年11月6日
YouTube
Bill Kinney
5:15
The Multivariable Chain Rule with Tree Diagrams: Example 1
已浏览 967 次
2023年10月14日
YouTube
Mike, the Mathematician
11:34
Total differentials and the chain rule | MIT 18.02SC Multivariable Calcul
…
已浏览 18.1万 次
2011年1月4日
YouTube
MIT OpenCourseWare
13:01
How to Apply Chain Rule for Multivariable Functions | Case 2:
…
已浏览 57 次
9 个月之前
YouTube
MathSci Consult
52:46
Chain Rule For Multivariable Functions | Calculus 3 Lesson 47
…
已浏览 3504 次
6 个月之前
YouTube
JK Math
5:11
Chain rule: 2nd derivatives example
已浏览 6.9万 次
2011年11月14日
YouTube
Dr Chris Tisdell
50:09
Lec 11: Differentials; chain rule | MIT 18.02 Multivariable Calculus, Fall 2
…
已浏览 23.1万 次
2009年1月16日
YouTube
MIT OpenCourseWare
58:33
Chain Rule For Multivariable Functions | Calculus 3 Lesson 47
…
已浏览 1539 次
6 个月之前
YouTube
JK Math
18:25
Multivariable Chain Rule (Calculus 3)
已浏览 1万 次
2021年3月8日
YouTube
Houston Math Prep
观看更多视频
更多类似内容
反馈